Skip to main content
SLU publication database (SLUpub)

Abstract

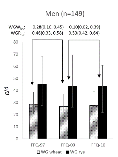
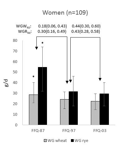
Alkylresorcinols (AR) are phenolic lipids present in the outer parts of rye and wheat grain kernels. Total AR concentration and the ratio of two AR homologs, C17:0/C21:0, in plasma have been evaluated and used as biomarkers of whole grain rye and wheat intake. The AR C17:0/C21:0 ratio is 1.0 in rye and 0.1 in common wheat and reflects the relative intake of whole grain rye. However, due to the short half-life (4-5 h) of AR in plasma, more long-term biomarkers are needed. This thesis investigated whether AR in adipose tissue could be used as long-term biomarkers of whole grain wheat and rye intake, and whether these biomarkers, in parallel with whole grain intakes determined by dietary assessment, were associated with blood lipid profiles and breast cancer incidence in two Nordic populations. A sensitive, high-throughput GC-MS method for quantification of AR concentrations in adipose tissue biopsies was developed, evaluated, and applied. The AR concentrations in adipose tissue were evaluated as long-term biomarkers by correlating them to whole grain intake, measured precisely by repeated food records during a 12-week intervention, and to long-term whole grain wheat and rye intake estimated with food frequency questionnaires (FFQs) in observational studies. Intake was found to be modestly to well correlated with total AR concentrations in adipose tissue, with sex being an important determinant. The performance of AR in adipose tissue as biomarkers of whole grain wheat and rye appeared comparable to that of AR in plasma, and therefore they were further tested in relation to blood lipid profiles and incidence of breast cancer in two observational studies. Overall, total whole grain wheat and rye, reflected by biomarkers or dietary assessment, were not associated with blood lipids or breast cancer incidence in the populations studied. However, AR C17:0/C21:0 ratio in adipose tissue was inversely associated with low-density lipoprotein cholesterol (LDL-C) in blood and positively associated with the risk of developing ER+ breast cancer among women. These findings suggest that whole grain wheat and rye may have different effects on the endpoints studied but need to be confirmed in other population. The results illustrate the importance of using dietary biomarkers in parallel with conventional dietary assessment.

Keywords

Adipose tissue; alkylresorcinols; biomarkers; breast cancer; cholesterol; plasma; rye; wheat; whole grain

Published in

Acta Universitatis Agriculturae Sueciae
2017, number: 2017:73
Publisher: Department of Molecular Sciences, Swedish University of Agricultural Sciences

SLU Authors

UKÄ Subject classification

Analytical Chemistry
Epidemiology
Public Health, Global Health and Social Medicine

Publication identifier

  • ISBN: 978-91-7760-036-7
  • eISBN: 978-91-7760-037-4

Permanent link to this page (URI)

https://res.slu.se/id/publ/104120